Tree Current Node Brainstorming
2024-10-06
What does a “current node” cursor look like for a tree?
Brainstorming: I don’t know, yet, where this leads, just throwing some half-baked thoughts out…
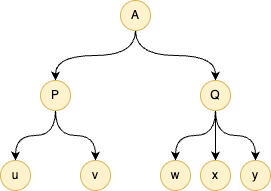
I expressed a simple tree in Lisp.
This leads to some thoughts about how this can be represented (enlarged text follows):
Conclusion: a current node cursor is a tuple
parent
current-node
left
right
up
down
See Also
Twitter: @paul_tarvydas





